•
VAE는 뉴럴넷으로 잠재변수 와 관측된 데이터 사이의 관계를 학습
•
잠재변수가 주어졌을 때 데이터에 대한 분포를 출력으로 가지는 네트워크를 decoder라 하며 로 표현하며 는 뉴럴넷의 가중치를 의미
•
를 최적화 하여 를 실제 분포에 가까워지도록 학습
•
의 사후분포(posterior)인 를 뉴럴넷으로 엔코딩하며 이를 행하는 네트워크를 encoder라고 하고 로 표현
•
실제 사후분포에 가깝도록 encoder의 파라미터 를 최적화
•
본 챕터에선 VAE를 위한 두가지 효율적인 방법인 ELBO와 reparametrization을 소개
Evidence Lower Bound (ELBO)
•
encoder와 decoder의 파라미터를 최적화하기 위해 수식을 튜닝하는 방식으로 데이터분포 의 하한을 활용
•
임의의 관측데이터 의 원소를 라 하고 데이터를 생성하는 잠재변수 가 존재한다고 가정
•
우린 잠재변수의 사후확률 가 존재한다는것은 알고 있으나 어떤분포인진 알 수 없으므로 이 분포가 어떤 잠재변수의 분포 로 근사할 수 있다고 가정
•
이때 는 최적화를 쉽게 할 수 있어야하며 동시에 실제 사후확률을 정확하게 모델링 할 수 있을정도론 복잡도가 높아야 하므로 이를 뉴럴넷으로 설계
•
의 확률인 를 바로 사용하지 않고 최적화를 좀 더 편하게 하기 위해 를 최적화하면 아래와 같이 전개
•
좌변인 은 상수이므로 양변에 Expectation 연산을 취해도 똑같으므로 양변에 Expectation 연산을 취하여 전개
•
우리는 잠재변수의 분포 와 이를 근사하는 분포 의 거리가 최소화되어야 하므로 를 최대화 시켜야함
•
이 때 는 상수이므로 을 최대화 시키는것은 를 최소화 시키는것과 같고 이를 이용하면 아래와 같이 를 전개할 수 있음
•
앞에서 언급한것과 같이 는 모르므로 로 근사하여 변형하면 아래와 같은 최종 최적화 수식을 얻을 수 있음
•
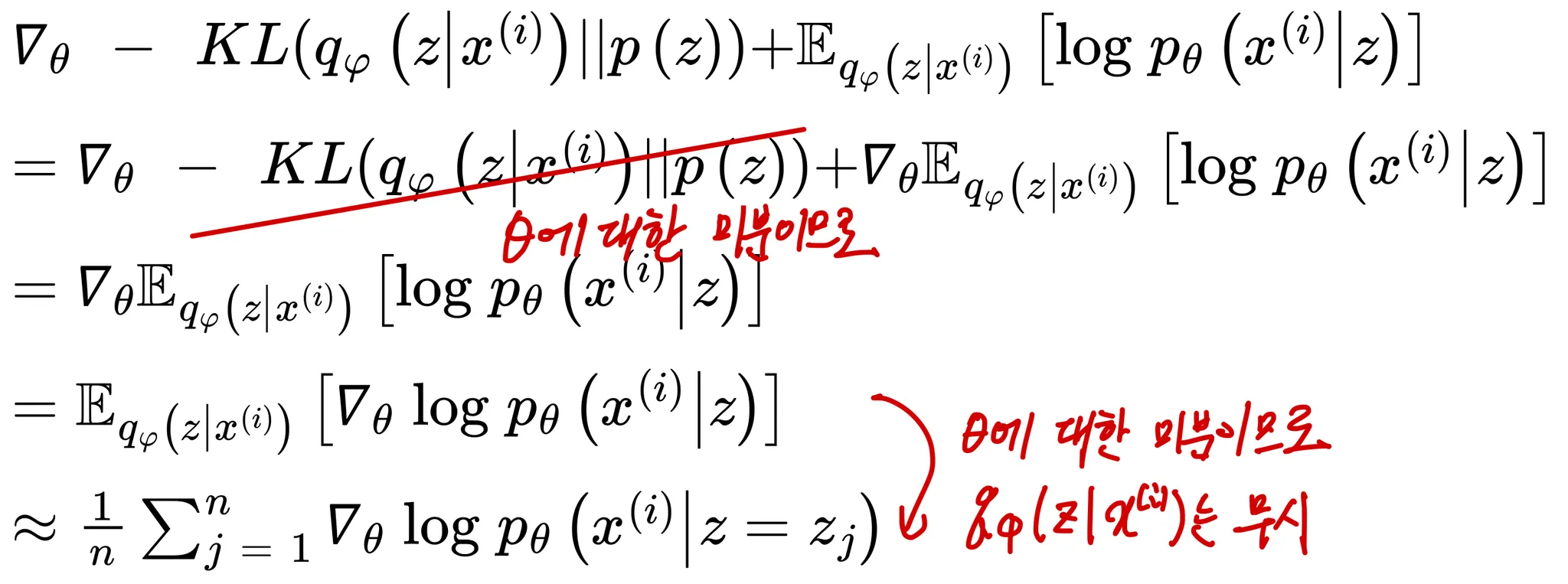
먼저 위 식을 최대화 하는 를 구하기 위해 에 대해 미분하면 아래와 같이 전개됨
•
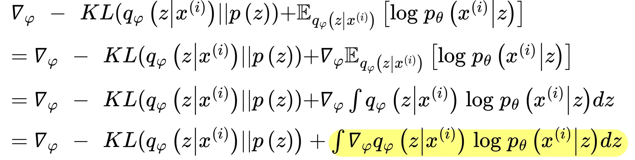
또한 같은 방법으로 아래와 같이 전개함
•
를 구할 때와 달리 의 경우 위 형광색으로 표시한 를 구하기가 까다로움
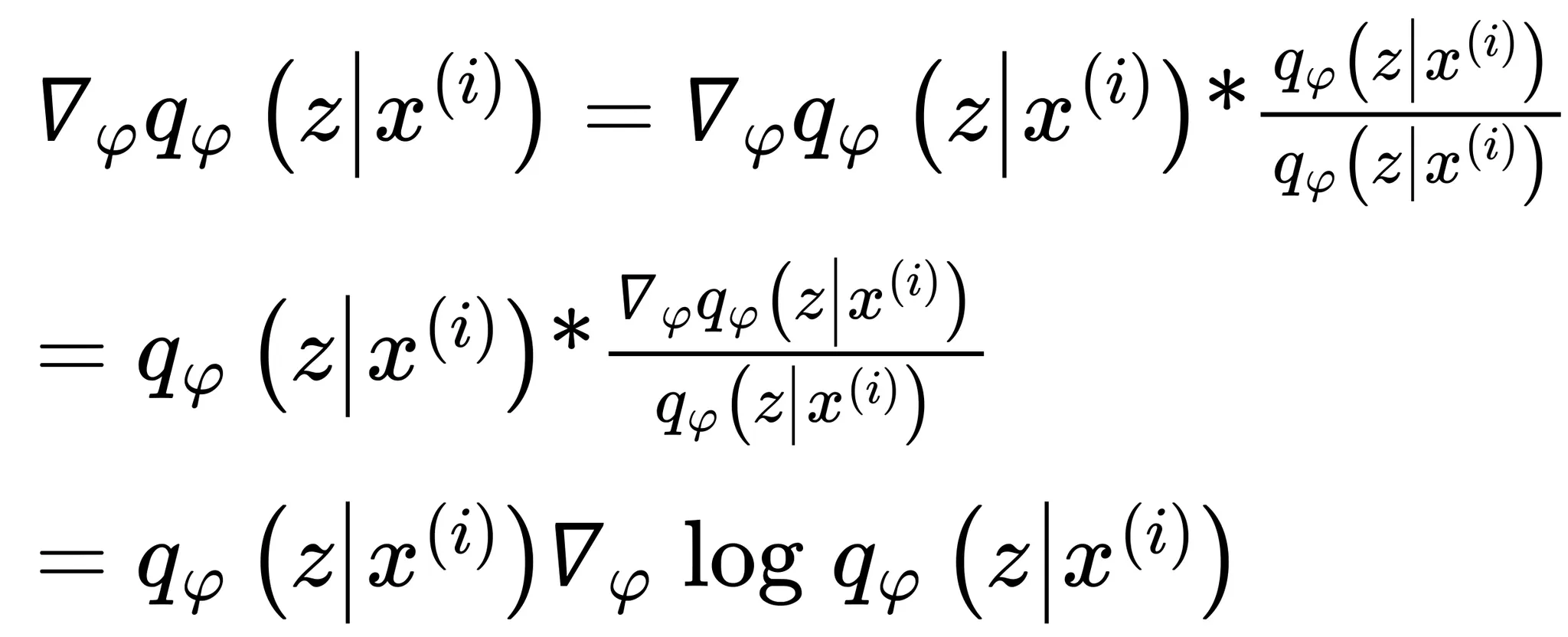
•
이를 위해 로그트릭()을 사용하여
라 할 수있고
정리하면 가 됨
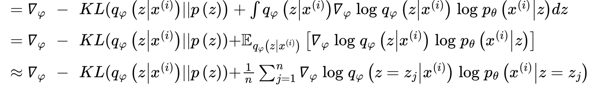
•
이를통해 를 아래와 같이 전개할 수 있음
•
위 식을 다시 위의 를 구하기 위한 식에 대입하면 아래와 같이 전개할 수 있음
Reparametrization trick
•
과 관련한 미분값이 낮은분산값을 가지도록 계산하기 위해 Reparametrization trick을 활용
•
가 encoder에 의해 생성되므로 다양한 값이 만들어지게 되며 이는 결국 encoder의 출력값이자 decoder의 입력값인 가 높은 분산값을 가지게 됨을 의미함
•
decoder에 들어갈 입력값이 배치마다 차이가 커지게 되므로 학습이 잘 안되며 이를 해결하기 위해 배치크기를 늘려 많은 샘플을 만들어 완화시킬 수 있으나 이런 방식은 계산량측면에서 비효율적임
•
즉, 분산이 작은 를 생성해야하며 이를 위해 encoder의 가중치와 상관없는 사후분포(주로 다중가우시안 분포 등) 근사를 활용
•
encoder의 출력인 가 분포 를 따른다고 가정
•
다중 가우시안분포의 원소를 라 할 때 Reparametrization trick를 사용하면 아래와 같이 표현할 수 있음
•
즉, 를 로 두고 아래와 같이 연산하며 을 보조랜덤변수(auxiliary random variable)라 함
•
이를 통해 encoder의 출력에 바로 의존하지 않고 encoder의 분산과 평균에만 의존하여 출력이 낮은 분산값을 가지도록 유도
•
그러나 본 방식은 사후분포가 가우시안을 따른다는 보장이 없다는 단점을 가짐
전체 코드
# this code is made by chatgpt
import torch
import torch.nn as nn
import torch.optim as optim
from torchvision import datasets, transforms
from torch.utils.data import DataLoader
import matplotlib.pyplot as plt
# VAE 하이퍼파라미터 설정
batch_size = 128
learning_rate = 0.001
epochs = 20
latent_dim = 20
# 데이터 전처리 및 로드
transform = transforms.Compose([
transforms.ToTensor(),
transforms.Normalize((0.5,), (0.5,))
])
train_dataset = datasets.MNIST(root='./data', train=True, transform=transform, download=True)
train_loader = DataLoader(train_dataset, batch_size=batch_size, shuffle=True)
# VAE 모델 정의
class VAE(nn.Module):
def __init__(self, latent_dim):
super(VAE, self).__init__()
# Encoder
self.encoder = nn.Sequential(
nn.Linear(28*28, 400),
nn.ReLU(),
nn.Linear(400, 200),
nn.ReLU(),
)
self.fc_mu = nn.Linear(200, latent_dim)
self.fc_logvar = nn.Linear(200, latent_dim)
# Decoder
self.decoder = nn.Sequential(
nn.Linear(latent_dim, 200),
nn.ReLU(),
nn.Linear(200, 400),
nn.ReLU(),
nn.Linear(400, 28*28),
nn.Sigmoid()
)
def encode(self, x):
h1 = self.encoder(x)
mu = self.fc_mu(h1)
logvar = self.fc_logvar(h1)
return mu, logvar
def reparameterize(self, mu, logvar):
std = torch.exp(0.5 * logvar)
eps = torch.randn_like(std)
return mu + std * eps
def decode(self, z):
return self.decoder(z)
def forward(self, x):
mu, logvar = self.encode(x)
z = self.reparameterize(mu, logvar)
return self.decode(z), mu, logvar
# 손실 함수 정의
def loss_function(recon_x, x, mu, logvar):
# 재구성 손실 (Binary Cross Entropy)
BCE = nn.functional.binary_cross_entropy(recon_x, x, reduction='sum')
# KL 발산 (Kullback-Leibler Divergence)
KLD = -0.5 * torch.sum(1 + logvar - mu.pow(2) - logvar.exp())
return BCE + KLD
# 모델 및 옵티마이저 초기화
model = VAE(latent_dim).cuda()
optimizer = optim.Adam(model.parameters(), lr=learning_rate)
# 학습 루프
for epoch in range(epochs):
model.train()
train_loss = 0
for batch_idx, (data, _) in enumerate(train_loader):
data = data.cuda()
data = data.view(-1, 28*28)
optimizer.zero_grad()
recon_batch, mu, logvar = model(data)
loss = loss_function(recon_batch, data, mu, logvar)
loss.backward()
train_loss += loss.item()
optimizer.step()
if batch_idx % 100 == 0:
print(f'Epoch [{epoch}/{epochs}] Batch [{batch_idx}/{len(train_loader)}] Loss: {loss.item() / len(data):.6f}')
print(f'====> Epoch: {epoch} Average loss: {train_loss / len(train_loader.dataset):.6f}')
Python
복사
출처
•
Fundamentals of Deep Learning, 2nd Edition by Nithin Buduma, Nikhil Buduma, Joe Papa







