실수공간과 달리 복소공간에서의 곡선(conic)에 대해선 모든 문제가 완전히 해결되었다.
그 동안 익숙했던 관점은 복소수를 꼴로써 실수와 허수를 분리하였다. 즉, 이차원의 실수공간으로 바라보는것이었다. 지금부턴 일차원의 복소수 자체를 다루며 본 챕터에선 복소공간에서의 이차곡선에 대해 살펴본다.
Theorem (The Fundamental Theorem of Algebra)
에서 일 때 는 반드시 개의 복소해를 갖는다.
Example
•
은 실수해를 갖지 않는다.
•
은 2개의 복소해를 갖는다. ()
Exercise 1.3.1
에 대해
•
(이므로)
•
, 이므로
면 는 두 개의 해를 갖는다.
면 는 한 개의 해를 갖는다.(중근)
Exercise 1.3.2
타원을 복소공간에서 다뤘을 때 어떻게 되는지 확인하기 위해 아래 문제를 풀어보자.
에서 어떤 에 대해 인 가 적어도 1개, 최대 2개 존재함을 보여라.
Proof.
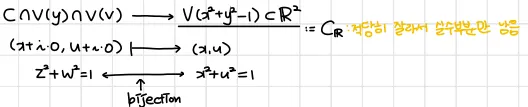
타원(ellipse)는 실수에선 근이 없을 수 도 있는것과 다르게 복소수에선 항상 근이 존재한다. 이를 통해 아래와 같은 사실을 알아낼 수 있다.
Exercise 1.3.4
쌍곡선(hyperbola)을 복소공간에서 다뤘을 때 어떻게 되는지 확인하기 위해 아래 문제를 풀어보자.
에서 에서 으로 가는 연속경로(continuous path)가 존재함을 보여라
Proof.
Exercise 1.3.5
Definition
복소공간 에서 아래와 같은 조건을 만족할 때 이를 복소 아핀 좌표변환(complex affine change of coordinate)이라 한다.
가 의 형식이고 이다.
Exercise 1.3.7
역변환(inverse transform) 을 구하여라
Definition
일 때
복소공간 에서 동일하다(equivalent over )
좌표(coordinate) 의 어떤 복소 아핀 좌표변환(complex affine change of coordinate)이 이다.
Exercise 1.3.7
모든 타원(ellipse)와 쌍곡선(hyperbola)는 복소공간 에서(over) 복소 아핀 좌표변환(complex affine change of coordinate)하에 동일하다.
Proof.
Exercise 1.3.8
타원(ellipse)와 포물선(parabola)이 동일관계(equivalent relation)이 존재하지 않음을 확인한다.
을 보여라
Proof.
Exercise 1.3.9
를 복소 이차곡선(complex conic) 에서의 리얼 슬라이스(real slice)라 한다.





